Test

Numele si prenumele:

Clasa  

Fiecare răspuns corect este punctat cu 1p.

Fiecare cerinţă are o singură variantă de răspuns.


1. Energia unui sistem este o mărime de proces.

Adevărat
Fals

2. Enegia unui sistem variază numai īn urma unei interacțķuni.

Adevărat
Fals

3. Energia mecanică este mărimea fizică asociată proprietății unui sistem de a fi capabil să exercite forțe care efectuează lucru mecanic.

Adevărat
Fals

4. Unitatea de măsură pentru energie este W.

Adevărat
Fals

5.Energia mecanică are două componente: energie cinetică și energie potențială.

Adevărat
Fals

6.  Energia pe care o posedă orice corp aflat īn mişcare īn raport cu un sistem de referinţă dat se numeşte energie cinetică.. 

Adevărat
Fals

7. Energia cinetică a unui punct material depinde de sistemul de referință.

Adevărat
Fals

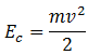
8. Selectați relația corectă pentru calculul energiei cinetice.




9. Relația care exprimă matematic teorema variației energiei cinetice pentru un punct material este:.


E = L

10. O piatră cu masa 0,25 kg, īn cădere liberă are o energie cinetică de 12,5J. Calculaţi viteza pietrei..

5 m/s
10 m/s
12 m/s
15 m/s

Timp:
Timp ramas:



Top